전체 글 169

[수학] 복소수: 2차원 평면의 수

복소수복소수는 실수와 허수의 2개의 요소로 구성되는 수집합이며, 집합 기호로는 C로 표기한다.복소수를 구성하는 허수는 무엇인지 알아보자. 허수모든 실수는 제곱하면 0 이상의 수가 나온다.그런데 이러한 실수의 정의만으로는 풀리지 않는 문제들이 등장하면서 제곱해서 음수가 되는 가상의 수를 고안했는데, 이것이 바로 허수이다. 복소수 체계에서 실수와 허수는 완전히 분리된다.이 둘을 구분하기 위해서 허수에는 i라는 기호를 사용하며이를 '허수 단위' 라 부른다. 복소수는 실수부와 허수부로 나뉜다.허수부는 항상 i를 사용해 표기한다. 즉, 크기가 b인 허수부의 수는 bi로 표기해 실수와 구분한다. 그래서 실수부의 값이 a고 허수부의 값이 b인 복소수는 다음과 같이 표기한다. 또는 다음과 같은 순서쌍으로 표기하기도 하..

[수학] 절두체 : 최적화된 3차원 공간

렌더링에 있어서 중한 것은 빠르게 그리는 것이고가장 효과적인 방법은 시야에 보이는 물체만 그리는 것이다. 대표적인 기법으로는 백페이스 컬링을 들 수 있다.그 외로 사용할 수 있는 기법을 알아보자.  절두체 컬링개요씬에 다수의 오브젝트가 있는 경우 모든 오브젝트를 그리는 것은 비효율적이고, 카메라 시야 안에 보이는 오브젝트만 그리는 것이 훨씬 효율적이다. 그래서 그래픽을 효율적이게 구현하기 위해선 시야, 절두체 영역에 속한 오브젝트만 그려내면 된다.그렇다면 절두체 밖에 있는 오브젝트들을 걸러내야 하는데, 이러한 작업을 절두체 컬링 Frustum Culling 이라고 한다.  절두체는 6개의 면으로 이루어져 있다.이 면들의 각각의 평면의 방정식을 구한 다음에 게임 오브젝트가 6개의 평면 중 하나라도 바깥쪽에..

[수학] 원근 투영: 화면에 현실감을 부여하는 변환

1. 원근 투영 변환의 원리시선을 한 점에 고정시키고, 고정된 점으로부터 화폭까지 곧게 뻗은 실을 활용해 그림을 그리는 기법을 투시 원근법이라고 한다. 우리가 만든 3차원 공간에 투시 원근법의 원리를 적용하기 위해선 공간의 모든 점이 한 점을 향해 모이는 형태로 변경해야 한다. 이러한 변환을 원근 투영 변환이라고 부른다. 가상 공간에서 눈에 대응하는 물체는 카메라다.그래서 원근 투영 변환을 설계하기 위해서는 눈에 보이는 범위를 카메라에도 설정해야 하는데 이를 화각이라고 한다. 카메라에 화각을 설정하면 상하좌우가 균등한 사각뿔 영역이 만들어진다. 즉, 화각은 사각뿔 영역의 크기를 담당한다고 볼 수 있다.  원근 투영 변환은 뷰공간을 카메라의 한 점으로 모이는 사각뿔 형태를 가진 공간으로 변환하는 작업이라고..

[수학] 외적: 3차원 공간의 분석과 응용

1. 벡터의 외적3차원 벡터 간의 외적은 X 기호를 사용한다. 3차원 유클리드 공간의 벡터 x=(x1​,x2​,x3​), y=(y1​,y2​,y3​) 의 벡터곱 x X y 는 다음과 같이 정의된다. 외적의 결과는 언제나 3차원 벡터가 된다. 1) 외적의 성질외적은 교환법칙이 성립하지 않는다. (내적과 차이점)외적의 순서를 바꿔 연산하면 반대 방향의 벡터가 나온다.외적은 결합법칙도 성립하지 않는다.외적은 덧셈에 대한 분배법칙이 성립한다.결과값은 항상 벡터 값이다. 2) 행렬곱, 내적, 외적 비교 행렬곱내적외적계산 결과행렬스칼라벡터교환법칙XOX결합법칙OXX덧셈에 대한 분배법칙OOO  2) 외적의 활용 : 평행성 판별 동일한 벡터를 외적하면 항상 영벡터가 나온다. 반대방향 벡터를 외적하는 경우에도 동일하다.평..

[수학] 3차원 공간: 입체 공간의 생성

1. 3차원 공간의 설계3차원의 수학이 2차원과 다른 점은 3개의 축을 사용한다는 것이다.그렇기 때문에 3차원에서의 변환은 2차원보다 더 복잡하며 고려해야 할 점도 많다. 3D로 표현된 사실적인 게임을 만들기 위해서는 3차원 공간의 수학을 이해해야 한다.먼저 3차원 공간을 구성하는 좌표계를 먼저 정의하도록 하자. 3차원 공간은 2차원의 공간에 새로운 축을 추가해야 하는데, 이를 어떻게 설정하느냐에 따라 공간의 체계가 달라진다. 3차원 공간을 설게하는 방법은 크게 두 가지로 구분된다. 기본적으로 가로를 x축, 세로를 y축모니터를 기준으로 앞뒤를 z축으로 둔다. 이 때,나머지 한 축이 모니터에서 나오는 체계를 '오른손 좌표계'나머지 한 축이 모니터 뒤편으로 향하는 체계를 '왼손 좌표게'라고 한다. 좌표계를 ..

[수학] 삼각형: 물체를 구성하는 가장 작은 단위

세 점의 결합아핀 결합을 이용하면 스칼라 계수의 범위에 따라 직선, 반직선, 선분 등 다양한 종류의 선을 만들 수 있었다.그렇다면 세 점을 결합하는 경우는 어떻게 될까?세 점 P1, P2, P3를 결합하는 경우 스칼라는 3개로 늘어나고 세 스칼라의 합은 1이 되어야 한다.위 식을 점에서 점을 빼는 수식으로 바꿔 전개하면 다음과 같다.여기서 각 괄호를 u, v, w 벡터로 치환하면 다음과 같이 벡터로 구성된 수식이 만들어 진다.앞서 살펴본 바와 같이 벡터 u, v가 서로 선형 독립의 관계라면 벡터 w는 2차원 벡터 공간 R²에 존재하는 모든 벡터를 생성할 수 있다.따라서 세 점의 아핀 결합은 평면의 모든 점을 만들어낸다.  여기서 스칼라 s, t의 값 범위를 [0, 1] 로 고정시켜보자.그러면 그러면 아래..

[수학] 내적: 벡터 공간의 분석과 응용

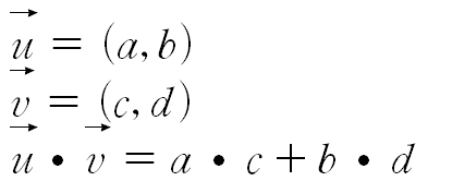
1. 벡터의 내적벡터의 내적 Dot Production 은 같은 차원의 두 벡터가 주어졌을 때,벡터를 구성하는 각 성분을 곱한 후 이들을 더해 스칼라를 만들어내는 연산이다.기호는 가운뎃점 ㆍ을 사용한다. 어떤 2차원 벡터 u (a, b), v (c, d) 가 있을 때1) 내적의 성질내적은 스칼라의 곱셈과 덧셈으로 구성되어 있으므로 교환법칙이 성립한다.결합 법칙은 성립하지 않는다.덧셈에 대해서 분배 법칙이 성립한다.서로 같은 벡터를 내적하면 벡터의 크기를 제곱한 결과가 나온다.내적의 성질은 모든 차원의 벡터에 대해서 동일하게 적용된다.2) 내적과 삼각함수와의 관계두 벡터 u, v가 있을 때, 두 벡터의 내적 값은 두 벡터 사잇각에 대한 cos 함수와 비례하는 특징을 가진다. 두 벡터 u, v의 사잇각을 세..

[수학] 아핀 공간: 움직이는 가상 세계의 구축

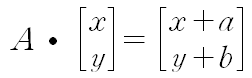
기존 이동 연산의 경우 행렬의 덧셈으로 구현했다.일반적인 행렬로는 이동에 대응하는 선형 변환을 구현할 수 없기 떄문이다. 해당 포스팅에서는 행렬 곱으로 이동 연산을 구현하는 방법에 대해서 알아본다.행렬 곱으로 이동 연산을 구현하기 위해서는 특별한 방법이 필요하다. 그것은 바로 아핀 공간을 사용하는 것이다.아핀 공간을 이용하면 모든 변환에 대해 선형 변환,행렬곱을 지원할 수 있다. 우리는 아핀 공간으로부터 가상 세계의 기반을 완성시킬 것이다.1. 이동 변환을 위한 아핀 공간2x2 정방 행렬의 곱셈으로는 2차원 평면에서의 이동을 구현할 수 없다.임의의 벡터 (x, y)를 (a, b) 만큼 이동시키는 것은(x+a, y+b) 와 같은 행렬 덧셈으로 구현할 수 있기 때문이다. 다음과 같은 정방행렬 A는 존재하지 ..

[멀티스레드 프로그래밍] 스레드 관리

이전글https://powerclabman.tistory.com/118 [멀티스레드 프로그래밍] C++ 동시성 프로그래밍 개론참고사항C++ : Concurrency In Action (원서) 바탕으로 적은 글 입니다.해당 포스팅은 해당 저서의 번역보다는 번역 및 (제 기준으로) 이해하기 쉽도록 재구성한 부분이 다수 있습니다.주의해서 읽으시powerclabman.tistory.com 애플리케이션에 동시성을 사용하기로 결다. 특히, 다수의 스레드를 사용하기로 했다. 이제 어떻게 해야할까? 이 스레드들을 어떻게 시작하고, 완료되었는지 어떻게 확인하며, 어떻게 관리해야할까? C++ 표준 라이브러리는 주어진 스레드와 관련된 std::thread 객체를 통해 대부분의 스레드 관리 작업을 쉽게 수행할 수 있도록 한다..