복소수
복소수는 실수와 허수의 2개의 요소로 구성되는 수집합이며, 집합 기호로는 C로 표기한다.
복소수를 구성하는 허수는 무엇인지 알아보자.
허수
모든 실수는 제곱하면 0 이상의 수가 나온다.
그런데 이러한 실수의 정의만으로는 풀리지 않는 문제들이 등장하면서 제곱해서 음수가 되는 가상의 수를 고안했는데, 이것이 바로 허수이다.

복소수 체계에서 실수와 허수는 완전히 분리된다.
이 둘을 구분하기 위해서 허수에는 i라는 기호를 사용하며
이를 '허수 단위' 라 부른다.
복소수는 실수부와 허수부로 나뉜다.
허수부는 항상 i를 사용해 표기한다.
즉, 크기가 b인 허수부의 수는 bi로 표기해 실수와 구분한다.
그래서 실수부의 값이 a고 허수부의 값이 b인 복소수는 다음과 같이 표기한다.

또는 다음과 같은 순서쌍으로 표기하기도 하는데, 앞에 위치한 요소는 실수, 뒤에 위치한 요소는 허수이다.

복소수의 구조
복소수의 덧셈
복소수의 덧셈은 실수부와 허수부를 구분해 각각 더해준다.

복소수의 덧셈을 순서쌍으로 표기하면 다음과 같으넫, 이는 2차운 벡터의 덧셈과 비슷한 모습이다.

순서쌍을 구성하는 a, b, c, d 는 모두 실수이므로 벡터의 덧셈 연산의 성질은 다음과 같다.
- 덧셈에 대해 닫혀있다.
- 교환법칙이 성립한다.
(a, b) + (c, d) = (c, d) + (a, b) - 결합법칙이 성립한다.
((a, b) + (c, d)) + (e, f) = (a, b) + ((c, d) + (e, f)) - 항등원이 존재한다.
(a, b) + (0, 0) = (a, b) - 역원이 존재한다.
(a, b) + (-a, -b) = (0, 0)
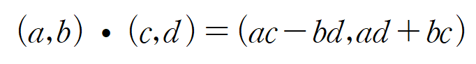
복소수의 곱셈
복소수의 곱셈은 모든 요소를 교차해 곱하는 방식으로 동작한다. 따라서 임의의 두 복소수의 곱셈은 다음과 같이 전개된다.


복소수의 곱셈 성질은 다음과 같다.
- 곱셈에 대해 닫혀있다.
- 교환법칙이 성립한다.
- 결합법칙이 성립한다.
- 항등원이 존재한다.
(a, b)ㆍ(1, 0) = (a, b) - 역원이 존재한다.
복소수의 역원은 구하기 까다롭다.
이를 위해서는 켤레 복소수의 개념을 알아야 한다.
그 전에 복소수의 크기를 나타내는 방법을 알아보자.
복소수의 크기는 벡터의 크기를 구하는 것과 방법이 동일하다.
실수부의 제곱과 허수부 계수 제곱을 더하여 제곱근하면 된다.

이때, 기호는 | |를 사용하며 이를 복소수의 노름이라고 한다.
특히, 크기가 1인 복소수를 단위 복소수라고 한다.
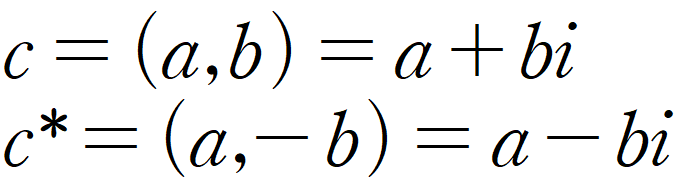
켤레 복소수는 다음과 같이 정의된다.
임의의 복소수 C = a + bi 가 존재할 때
C의 켤레 복소수는 C* = a - bi 이다.

켤레 복소수의 기호는 *이다.
켤레 복소수는 다음과 같은 성질을 만족한다.

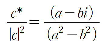
만약 c c*를 곱한다면, 복소수 c의 노름의 제곱값을 얻을 수 있다.

이제 복소수 곱셈의 역원을 구해보자.
임의의 복소수 c가 있다고 하자.
그러면 c의 곱셈 역원은 c의 역수가 된다.

그러면 위와 같이 나타낼 수 있다고 해보자.
c c*은 |c|² 이라는 것을 위에서 알아보았다.
이를 정리하면 아래와 같다.

즉, 복소수 c에 대한 곱셈은 역원은 다음과 같이 나타낼 수 있다.

만약, 해당 복소수가 단위 복소수라면, 분모값은 1이된다.
즉, 단위 복소수의 곱셈의 역원은 켤레 복소수가 된다.
복소수는 닫힘, 결합, 분배, 교환, 항등원존재, 역원존재의 공리를 만족하기에 체의 구조를 만족한다고 볼 수 있다.
복소 평면
복소수를 시각적으로 표현해보자.
복소수는 실수부와 허수부 2개의 독립된 체계를 가진다.
이를 시각적으로 나타내기 위해서는 2차원 평면을 사용해야 한다.

R² 의 벡터 (a, b) 를 표현할 때, x축과 y축이 직교하는 좌표계를 사용하는 것 처럼
복소수 역시 위와같은 평면을 사용하는데, 이를 복소평면이라고 한다.
복소평면의 가로축은 실수부, 세로축은 허수부이다.
일반적으로 실수축은 Re
허수축은 Im 로 설정하며, 복소수 (a, b)를 아래와 같이 평면 상에 표현할 수 있다.

크기가 1인 단위 복소수를 모아 복소평면에서 표현하면 위와 같이 단위원의 형태가 만들어진다.

단위 복소수와의 곱
단위 복소수가 만들어 내는 단위원 위의 점을 (a, b)라고 하자.
해당 점은 (cosθ, sinθ) 으로 나타낼 수 있다.
이와 같이 삼각함수로 나타낸 단위 복소수에 임의의 복소수 (x, y)를 곱해보자.
(cos θ, sin θ)ㆍ(x, y) = (xcos θ - ysin θ, ycos θ + xsin θ)
이 식은 2차원 공간의 회전행렬 R에 2차원 벡터 (x, y)를 곱한 것과 결과가 같다.
즉, 임의의 복소수에 단위 복소수를 곱하는 것은 복소평면에서의 회전 변환을 의미한다.
이번엔 단위 복소수끼리의 곱셈을 알아보자.
앞서 임의의 복소수에 단위 복소수를 곱하는 것이 회전 변환이라고 말했는데,
단위 복소수끼리의 곱셈은 두 복소수가 나타내는 각의 합을 회전 변환하는 것과 동일하다.
마지막으로 임의의 복소수와 복소수 곱셈의 항등원 사이의 곱의 의미를 생각해보자.
(x, y)ㆍ(1, 0) = (x, y) 이므로 아무런 변환가 일어나지 않는다는 것으로 해석할 수 있다.
켤레 복소수의 회전 변환
이번에는 복소평면에서 켤레 복소수의 의미를 살펴보자.
임의의 복소수 (a, b)의 켤레 복소수는 (a, -b)이다. 이는 복소평면에서 두 점이 Re축에 대하여 대칭임을 나타낸다.

이를 삼각함수로 나타내면
c = (cos θ, sin θ)
c* = (cos (-θ), sin (-θ))
와 같다.
어떤 단위 복소수 c가 (1, 0)을 θ만큼 회전한 거라면
c*은 (1, 0)을 - θ 만큼 회전한 것이다.
이를 확장해서 임의의 복소평면 단위원의 점 (a, b)에 대해서 생각해보자.
점 (a, b)에 단위 복소수 c를 곱하면 반시계 방향으로 θ만큼 회전한 것과 같다.
반대로 c의 켤레 복소수를 곱하면 시계 방향으로 θ만큼 회전한 것과 같다.
점 (a, b)에 단위 복소수 c와 켤레 복소수 c*을 차례로 곱했다고 해보자.이는 θ회전 후 -θ회전 이므로 0' 만큼 회전했다고 생각할 수 있다.
이를 증명해보자.
c c* = (cos θ, sin θ) * (cos θ, -sin θ) = (1, 0)
즉, c c*는 복소수 체계의 항등원과 같다.
그러므로 단위 복소수와 켤레 복소수의 곱셈을 동시에 진행하면, 아무런 변환이 일어나지 않음을 확인할 수 있다.
복소수와 행렬의 관계
복소수를 수가 아닌 변환의 관점에서 바라보자.
그렇다면 2차원 복소평면 상의 복소수는 2차원 행렬에 대응할 수 있다.
단위 복소수와 회전변환 행렬을 대응시켜보자.

여기서 행렬을 아래와 같이 스칼라와 행렬의 곱으로 나타낼 수 있다.

여기서 우항을 잘보자.
cos쪽 행렬은 항등행렬이다.
sin쪽 행렬은 허수 i에 대응하는 행렬이다.
해당 행렬을 2번 곱해보자.

그럼 위와 같다.
위 연산의 결과는 항등행렬을 I라고 했을 때, -I와 같으며
제곱했을 때, 항등원의 음수값이 나온다는 것에서 -1에 대응한다고 볼 수 있다.
즉, 복소수와 행렬의 대응관계를 맺어보자면
cos 행렬은 실수에 대응하고
sin 행렬은 허수 i에 대응한다고 볼 수 있다.
연습문제
1. 복소수 체계가 체의 구조를 만족함을 보여라.
2. 단위 복소수와 임의의 복소수의 곱이 복소평면에서의 회전 변환을 의미하는 이유를 설명하시오.
3. 회전의 관점에서 두 단위 복소수끼리의 곱이 의미하는 바는 무엇이며, 그를 증명하시오.
4. 복소수 체계와 행렬의 대응 관계를 서술하시오.

'컴퓨터 그래픽스 > 수학' 카테고리의 다른 글
| [수학] 오일러 공식 증명 (Euler's Formula) (0) | 2024.07.27 |
|---|---|
| [수학] 오일러 공식: 허수로 표현하는 회전 변환 (0) | 2024.07.25 |
| [수학] 절두체 : 최적화된 3차원 공간 (0) | 2024.07.21 |
| [수학] 원근 투영: 화면에 현실감을 부여하는 변환 (11) | 2024.07.20 |
| [수학] 외적: 3차원 공간의 분석과 응용 (3) | 2024.07.20 |