
이번 포스팅에서는 오일러 공식을 증명해보겠다.
1. 멱급수
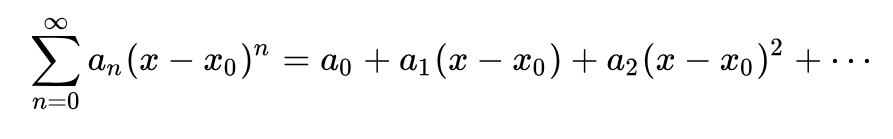
멱급수란 다음과 같은 급수 꼴을 의미한다.

이러한 급수를 x0 에서의 멱급수라고 한다.
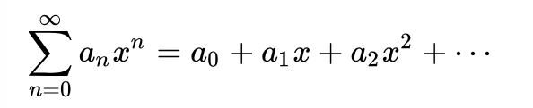
x0 = 0 이라면, 멱급수는 아래와 같이 간단하게 바뀐다.

계수들을 모두 동일한 수라고 생각하자.
그러면 멱급수는 등비수열과 동일해지기에, 이해하는데 도움이 된다.
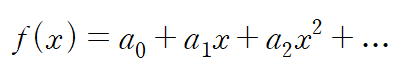
그러면 위 멱급수를 f(x) 로 단순하게 바꿔보자.

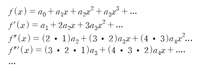
만약, 함수 f(x)가 무한 미분가능하다고 해보자.
여기서 무한 미분가능이란, 말그대로 무한하게 미분이 가능한 함수를 뜻하며, 대표적인 무한미분 함수는 아래와 같다.

미분해도 0과 같은 수로 수렴하는 것이 아니라 마치 식이 일정한 규칙을 따라 진동하는 꼴을 보인다.
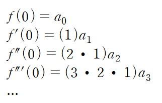
다시 돌아와서 멱급수 함수 f(x)을 무한미분해보자.

여기서 계수 부분을 보면 마치 팩토리얼 함수 꼴을 띄고있는 것을 볼 수 있다.
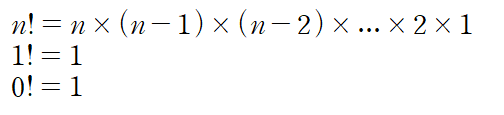
팩토리얼을 간단히 설명하자면 다음과 같다.

그렇다면 f(x) 함수에 x = 0 을 대입해보자.

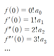
이를 팩토리얼로 정리해보자.

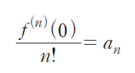
우항의 계수를 왼편으로 넘지면 an을 f(0) 로 정리할 수 있다.

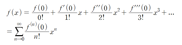
즉, 이제 f(x)를 다음과 같이 전개할 수 있다.

이를 급수로 정리해보자.

이 식을 매클로린 급수라고 한다.
매클로린 급수로 어떤 함수를 표현하려면
함수 f(x)는 무한미분해야 하고, 급수가 수렴해야만 한다.
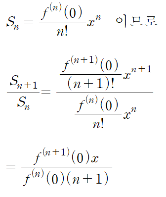
급수가 수렴하는 것을 알 기 위해서는 급수 식이 Sn 이라고 할 떄,

을 만족해야 하며, 이를 비판정법이라고 부른다.
그러면 식을 조금 전개해보자.


앞서 설명한 무한 미분가능한 함수를 열거했다.

바로 자연지수함수와 삼각함수이다.
이들이 매클로린 급수로 전개해보고, 매클로린 급수를 만족하는지 보자.
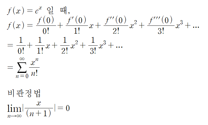
먼저, 이들은 무한미분가능하는 첫번째 조건은 만족하였고, 수렴하는지를 확인해야 한다.

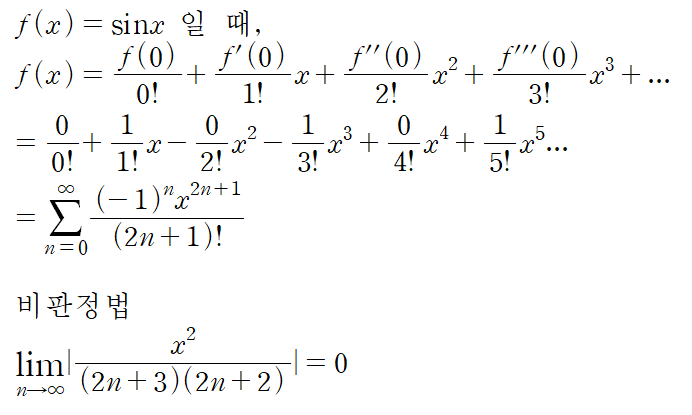
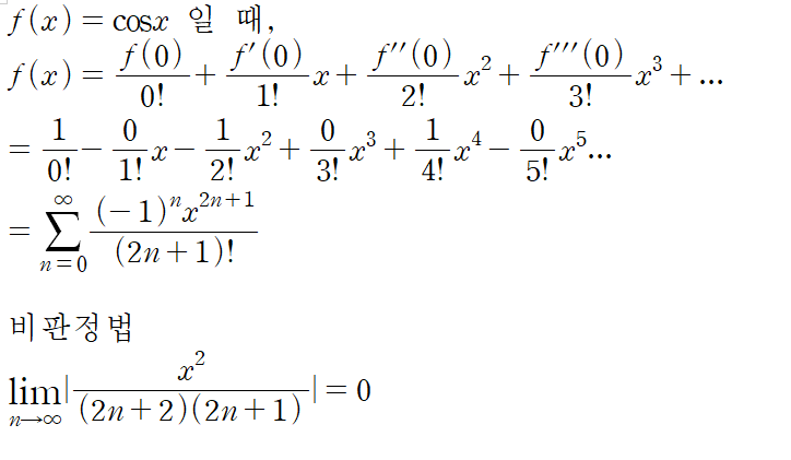
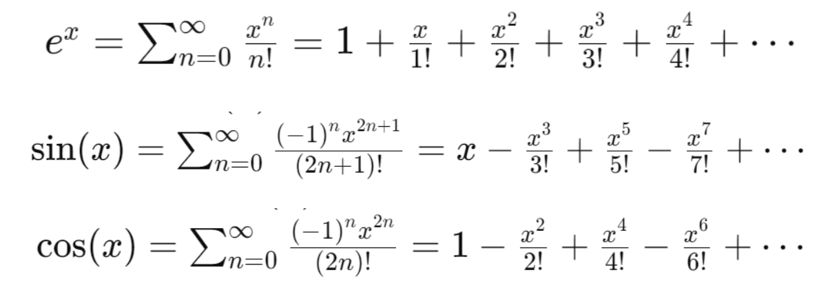
자연지수함수는 매클로린 급수로 표현이 가능하다.
각각 sin과 cos도 확인해보자.


즉, 자연지수함수, cos, sin 함수 모두 매클로린 급수 전개가 가능하다.
이를 나열해보자.

식을 잘보면
sin(x)와 cos(x) 는 겹치는 거듭제곱 수가 없으므로 무리없이 더할 수 있는 것을 알 수 있다.

이 식을 보면 부호만 조금 다를 뿐 자연지수함수의 매클로린 전개와 꼴이 상당히 유사하다.
(4n + 2) 번째 항과 (4n+3) 번째 항만 음수인 것만 차이가 있다.
그렇다면 어떤 식으로 해야
e^x와 삼각함수의 합 간의 등식을 성립시킬 수 있을까?
이것은 허수 i를 사용하여 해결할 수 있다.
허수 i를 거듭제곱하면 아래와 같이 순환한다.

그러면 e^ix 를 매클로린 급수로 전개해보자.

이런 식으로 전개하면

식이 이것과 나름 유사해진다.
거듭제곱함수를 한 번 더 보자
짝수 항에만 허수 i가 붙어있는 것을 관찰할 수 있다.
짝수 항은 sinx 함수의 매클로린 급수 함수임을 관찰할 수 있다.
그러므로 sin x에 i를 곱해주면 마침내 자연지수함수와 삼각함수의 합 간의 등식을 성립할 수 있다.

여기서 x = 각 으로 바꾸면 오일러 공식을 유도할 수 있다.

만약 여기서 세타 대신 파이를 넣어보자.

세상에서 가장 아름다운 수식이라고 불리는 오일러 등식을 유도할 수 있다.
'컴퓨터 그래픽스 > 수학' 카테고리의 다른 글
| 컨벡스 결합에 대한 삽질 (0) | 2024.08.09 |
|---|---|
| [수학] 사원수: 4차원 수로 설계한 3차원 회전 (2) | 2024.07.30 |
| [수학] 오일러 공식: 허수로 표현하는 회전 변환 (0) | 2024.07.25 |
| [수학] 복소수: 2차원 평면의 수 (6) | 2024.07.24 |
| [수학] 절두체 : 최적화된 3차원 공간 (0) | 2024.07.21 |