어떤 집합안에 2개의 지점을 선으로 연결했을 때, 그 선을 이루는 요소들이 그 집합 안에 속해 있다면 그 집합을 컨벡스 집합이라고 부릅니다.

좌측이 컨벡스 집합
우측은 컨벡스 집합은 아니고 컨케이브 집합이라고 부릅니다.
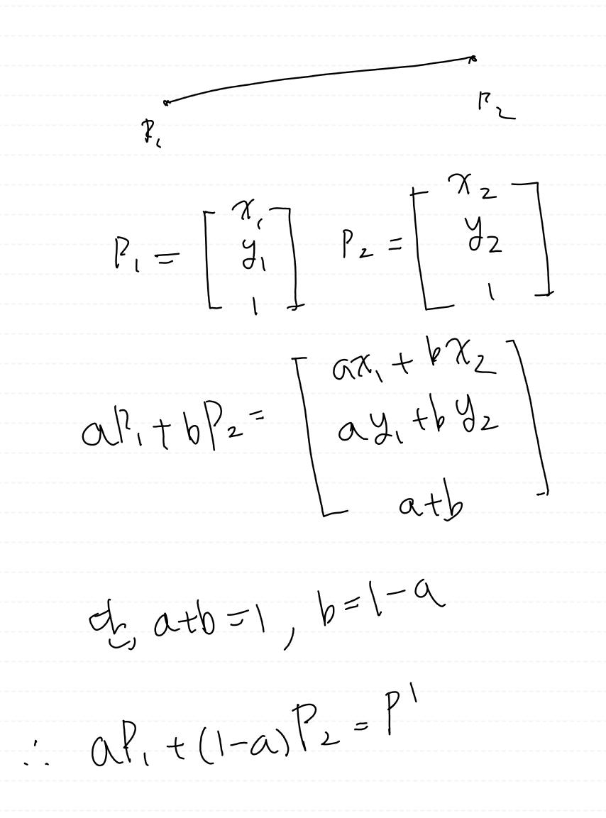
컨벡스 집합을 만들어내는 수식을 컨벡스 결합이라고 부릅니다.

어떤 점들의 스칼라 계수 곱의 합을 통해서 닫힌 상태의 새로운 점을 만들어낼 수 있습니다.
이러한 결합을 아핀 결합이라고 부릅니다.

일반화하면 이렇게 나타낼 수 있습니다.
선형 독립인 점 2개의 아핀 결합은 두 점을 포함하는 직선
선형 독립인 점 3개의 아핀 결합은 세 점을 포함하는 평면을 생성할 수 있습니다.
선형 독립인 점 4개의 아핀 결합은 네 점을 포함하는 공간을 생성합니다.
여기서 한 발 더 나아가 봅시다.

어떤 점 Px 는 위와 같이 나타낼 수 있습니다.

t 가 0 이면, p2->p3 상의 점을 만들어 냅니다.

s가 0이면, p1->p2 상의 점을 만듭니다.
물론 t의 범위는 [0, 1] 입니다.

1-t-s = 0 인 경우
p2->p3 상의 점을 만들 수 있습니다.
즉,
t + s = 1 이면 p2->p3 상의 점을 만들 수 있습니다.
그러면
t + s = 0.5 이면 어떻게 될까요?
그 전에 먼저
삼각형 내의 좌표들을 P2 기준으로 나타내봅시다.

조건이 하나 빠졌는데
t + s = 1 이라는 식이 있어야 w가 벡터 p1->p3 위에서 정의됩니다.
여기서 다시
t + s = 1/2 이라는 식을 적용해보겠습니다.

참고로 t의 범위는
[0, 1/2] 입니다.
즉,


람다 2는 1-람다1-람다3 로 정의되고
람다 1과 람다 3의 합은 [0, 1] 의 범위를 가집니다.
그러므로 위와같이 정의할 수 있습니다.
람다들은 모두 [0, 1] 의 범위를 가지고
람다들의 합은 항상 1입니다.
이와같이 정리할 수 있습니다
이를 확장하면 다음과 같습니다.

컨벡스 집합을 만들어내는 결합식을 컨벡스 결합이라고 부릅니다.
컨벡스 결합 공부하면서
저런 식이 유도되는게 이해도 안되고 설명이 친절한 곳도 많이 없어서
나름대로 생각해봤습니다.
틀린 부분있으면 지적부탁드립니다.
'컴퓨터 그래픽스 > 수학' 카테고리의 다른 글
| 좌표계 변환에 대한 삽질 (1) | 2024.09.10 |
|---|---|
| [수학] 사원수: 4차원 수로 설계한 3차원 회전 (2) | 2024.07.30 |
| [수학] 오일러 공식 증명 (Euler's Formula) (0) | 2024.07.27 |
| [수학] 오일러 공식: 허수로 표현하는 회전 변환 (0) | 2024.07.25 |
| [수학] 복소수: 2차원 평면의 수 (6) | 2024.07.24 |